1) Define the term first ionisation energy. [3]
the energy required to remove one electron
from each atom in one mole
of gaseous atoms ![]()
2)
Electrons are arranged in energy levels.
Complete
the table below to show how many electrons completely fill each of the
following. [3]
|
|
number of electrons |
|
a d orbital |
2 |
|
a p sub-shell |
6 |
|
the third shell (n = 3) |
18 |
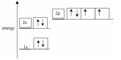
3) The energy diagram below is for
the eight electrons in an oxygen atom. The diagram is incomplete as it only
shows the two electrons in the 1s level.
Complete the diagram for the oxygen atom by:
(a) adding labels for
the other sub-shell levels, [1]
(b) adding arrows to show how
the other electrons are arranged. [1]

4) The table shows the first 6 successive ionisation
energies of an element X, which is in Period 3 of the Periodic
Table.
Use the table to identify
element X. Explain how you decided on your answer. [3]
|
element |
ionisation energy / kJ
mol–1 |
|||||
|
|
1st |
2nd |
3rd |
4th |
5th |
6th |
|
X |
578 |
1817 |
2745 |
11 578 |
14 831 |
18 378 |
Al
Sharp rise in successive
ionisation energy between 3rd and 4th IE
marking a change to a new or
different shell / there are 3 electrons in the outer shell ![]()
5) (a)
Write an equation, with state symbols, to represent the second ionisation
energy of calcium. [2]
Ca+(g) ® Ca2+(g)
+ e−
Equation with correct charges and 1 electron lost
state symbols ![]()
(b) Why is the second ionisation energy of calcium
greater than their first ionisation energies? [1]
same number of protons or same nuclear charge
attracting less electrons / electron removed from an ion / ion is smaller![]()
(c) Explain why the first ionisation energy of
strontium are less than that of calcium. [3]
atomic
radii of Sr > atomic radii of Ca / Sr has electrons in shell further from nucleus than Ca / Sr has electrons in a higher energy level / Sr has more shells ![]()
Therefore
less attraction ![]()
Sr has more
shielding than Ca
(‘more’
is essential)
increased nuclear
charge is outweighed / despite increased nuclear
charge …..by at least one of the factors above ![]()
6) The electronic configuration of a
bromine atom can be written in terms of sub-shells.
(a) Complete the electronic configuration of a
bromine atom. [2]
1s22s22p63s23p6 ...............
1s22s22p63s23p6..........3d104s24p5 ![]()
Award 1 mark for p5.
(b)
Why is bromine classified as a p-block element? [1]
Highest energy sub-shell/sub-shell/being filled is the p sub-shell/outer
electrons are in a p (sub-shell/orbital/shell)
(c) Write
the electron configuration for a bromine ion [1]
1s22s22p63s23p6 ...............
1s22s22p63s23p6..........3d104s24p6 ![]()