Ethanol is made in 1 of 2 ways:
1) Hydration of ethene:

This is a reversible reaction and only about 5% of ethene is converted to ethanol.
Unreacted gases are recycled - this gives a 95% conversion.
2) Fermentation:
Fermentation is the natural production of alcohol.
The sugar in fruit ferments using yeast on the skin.
It is a slow process done at around 25oC.
Glucose is converted to ethanol and carbon dioxide by the enzyme, zymase in the yeast:

The reaction is anaerobic which means it does not require oxygen.
This prevents oxidation of ethanol into aldehydes or carboxylic acids. These affect the flavour.
Above 37oC the enzyme becomes denatured and fermentation stops.
When the ethanol concentration reaches 14%, fermentation stops. This is when the alcohol kills the yeast.
Uses of alcohols:
Ethanol in alcoholic drinks:
Not only used in alcoholic drinks but also in perfumes.
Mixed with different hops, barley and water gives different types of drinks.
Spirits have to be distilled in order to get a higher alcohol %
Ethanol as a fuel:
Ethanol can make up 10% of petrol, it gives it a higher octane rating so burns more efficiently.
As the ethanol is made from a renewable source it makes this petrol more environmentally friendly.
Ethanol in methylated spirits:
Methylated spirits is a mixture of ethanol and methanol with some dye added.
This makes it toxic and therefore exempt form tax making it much cheaper.
Even a small amount can cause severe organ damage and death.
It is used mainly as a good hydrocarbon solvent.
Uses of methanol:
Methanol can be used as a high performance clean burning fuel.
Methanol is also used as a feedstock for the chemical industry.
Questions P149 Qu 1-5
Physical properties:
The physical properties of alcohols are influenced by their ability to form hydrogen bonds:
Volatility and boiling points:

Alcohols have hydrogen bonds whereas their corresponding alkane (by Mr) has Van der Waal's forces of attraction.
As hydrogen bonds are stronger than Van der Waal's they have higher boiling points.
This means that their volatility is much lower.
Solubility:
Alcohols are also soluble in water as they will form hydrogen bonds with water (whereas alkanes will not):

Their solubility however decreases as the carbon chain increases.
Only the first 3 alcohols are soluble in water.
The hydrocarbon chain does not form hydrogen bonds and as it gets longer it interferes with the ability for the OH group to hydrogen bond with water.
Classification of alcohols:
|
|
Primary (1o) |
Butan – 1 – ol. This is a Primary (1o) alcohol. When the OH carbon (*) is attached to only 1 other carbon atom. |
|
|
Secondary (2o) |
Propan – 2 – ol. This is a Secondary (2o) alcohol. When the OH carbon (*) is attached to 2 other carbon atoms. |
|
|
Tertiary (3o) |
2 Methylbutan – 2 – ol. This is a Tertiary (3o) alcohol. When the OH carbon (*) is attached to 3 other carbon atoms. |
When alcohols contain more than 1 hydroxyl group they are known as diols (2), triols (3) etc.
Questions P151 Qu1-3
Combustion and oxidation of alcohols
The combustion of alcohols:
In a plentiful supply of oxygen, alcohols will burn to form carbon dioxide and water.
Balancing is more tricky due to the oxygen in the alcohol.
| C2H5OH(l) | + | O2(g) | à | 2CO2(g) | + | 3H2O(g) | |
| C | 2 | 1 x2 = 2 | |||||
| H | 6 | 2 x3 =6 | |||||
| O | 1 | 2 | 4 | + | 3 | ||
| O | (7-1 = 6) | 2 x3 = 6 | = | 7 |
You have to take one oxygen away before you multiply the O2's up
Oxidation of alcohols:
To oxidise alcohols we use acidified potassium dichromate solution.
This is orange in colour and is a mixture of Sulphuric acid, H2SO4 and K2Cr2O7.
The orange colour is due to the Cr6+ ions in K2Cr2O7.
If it oxidises (ie the Cr6+ ions become reduced) then the solution turns green.
The green solution is due to Cr3+ ions.
Cr6+(aq) + 3e- à Cr3+(aq)
Orange Green

The results show that only primary and secondary alcohols can be oxidised / tertiary alcohols cannot be oxidised
Primary alcohols:
Primary alcohols when oxidised can form 2 products:
1a) Primary alcohol à Aldehyde:
Gentle heating of primary alcohols with acidified potassium dichromate make an aldehyde:
Notice that the OH is removed with a hydrogen on that carbon leaving a C=O.
As the C=O is formed at the end of the molecule, an aldehyde is formed:

![]() |
|
1b) Primary alcohol à Carboxylic acid:
On stronger heating with excess (see the equation) acidified potassium dichromate the alcohol will be completely oxidised passing through the aldehyde stage to form a carboxylic acid:

![]() |
![]() |
|
| Refluxing allows you to heat / boil volatile liquids for a long time. The condenser stops the volatile liquids evaporating off. | Distillation evaporates and condenses liquids at different temperatures. Collect the liquid you want around its boiling point and discard any others |
2) Secondary alcohols:
Secondary alcohols can be oxidised by acidified potassium dichromiate.
Notice that the OH is removed with a hydrogen on that carbon leaving a C=O.
As the C=O is formed not at the end of the molecule, a ketone is formed:
![]() |
3) Tertiary alcohols:
As you saw in the demo: Tertiary alcohols cannot be oxidised
Summary of alcohol oxidation
[O] can be used to show these oxidation reactions as the mechanism is complicated:
Primary alcohol à Aldehyde à Carboxylic acid
Secondary alcohol à Ketone à No reaction
Tertiary alcohol à No reaction
![]() |
Questions: P153 Qu1-3
Esterification and dehydration of alcohols
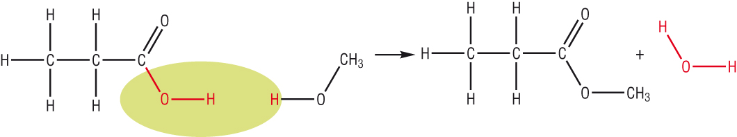
Esterification:
An ester is formed when an alcohol is warmed with a carboxylic acid:
![]() |
The reaction is known as esterification.
Concentrated sulphuric acid is used as an acid catalyst.
In the reaction the C - OH bond in the carboxylic acid breaks along with the O - H bond in the alcohol.
The OH and H join together forming water, H2O:
![]() |
Esters:
Are used as good solvents and in adhesives.
They have a sweet smell so are more known for their uses in perfumes and food flavour additives:
![]() |
Preparing an ester:
![]() |
|
Dehydration of an alcohol:
Water can be removed from an alcohol in the presence of an acid catalyst to form an alkene.
![]() |
The catalyst is usually concentrated phosphoric acid, H3PO4 or concentrated sulphuric acid, H2SO4.
It is heated under reflux, then distilled.
![]() |
Produce a flowchart for the reactions of the alcohols
Questions P155 Qu 1 - 3 / P179 Qu 1 - 6
Introduction to halogenoalkanes
Naming the halogenoalkanes
· When a hydrogen is replaced by a halogen, the prefix fluoro-, chloro-, bromo- and iodo- are used:-
CH3 – Cl Chloromethane
CH3 – CH2Br Bromoethane
· 2 isomers can be derived from a monosubstituted propane:-
CH3 – CH2 – CH2Cl 1 – Chloropropane
CH3 – CHCl – CH3 2 – Chloropropane
· Multi halogen substituted compounds use di, tri to indicate how many of that halogen is present in the compound:-
CH2Br – CH2Br 1,2 - dibromoethane
Reactivity of the halogenoalkanes:
|
Bond enthalpy
|
|
Bond polarity
|
Hydrolysis of halogenoalkanes:
Halogenoalkanes will react with hot aqueous hydroxide ions to produce an alcohol, usually sodium hydroxide.
The reaction is called hydrolysis and is usually carried out under reflux:
Hydrolysis: is a reaction with water or aq hydroxide ions that break a chemical compound into two compounds
![]() |
Questions P157 Qu1 - 3
Reactions of the halogenoalkanes
Nucleophilic substitution reactions: Hydrolysis
During hydrolysis, the halogen is replaced by the hydroxide ion.
The negative hydroxide ion is attracted to the d+ carbon in the molecule, this is known as nucleophilic attack.
The lone pair electrons from the hydroxide form a dative covalent bond with the carbon.
This carbon would have too many bonds so the carbon iodine bond breaks.
As the electrons are already nearest the d- iodine.
When the carbon - iodine bond breaks heterolytically, the electrons go with the iodine forming iodide, I- ions.
The mechanism:
![]() |
Similarly with chloromethane (or any halogenoalkane):
![]() |
Rate of hydrolysis of primary halogenoalkanes:
The rates of hydrolysis can be determined by heating the halogenoalkane with aq silver nitrate and ethanol.
The aq in silver nitrate acts as the nucleophile
The silver nitrate is the test for the halides which are substituted during hydrolysis.
The ethanol is a common solvent for the halogenoalkane and silver nitrate to mix.
As hydrolysis occurs the halogen is substituted with OH.
| CH3CH2CH2CH2Cl(aq) | + | H2O(aq) | à | CH3CH2CH2CH2OH(aq) | + | H+(aq) | + | Cl-(aq) |
| Ag+(aq) | + | Cl-(aq) | à | AgCl(s) | |
| White ppt |
The precipitate that forms first indicates which halogenoalkane hydrolyses first:
Rate can be calculated by 1/time taken for the precipitate to appear.
In order for the test to be controlled, the test must be done with the same amounts, similar halogenoalkanes, and at a constant temperature
![]() |
The procedure:
|
||
| 3 | 2 | 1 | |
Polarity vs bond enthalpy (energy):
1) Polarity:
· Electronegativity of the halogens decreases as you go down group 7.
This means that the C – Cl bond will be more polar than the C – Br bond which will be more polar than the C – I bond:
d+ d- d+ d- d+ d-
C – Cl > C – Br > C – I
The C - Cl bond is the most polar of the 3 halogenoalkanes.
This means that the d+ carbon in the C - Cl bond would attract nucleophiles more readily.
This means that it would give the fastest reaction.
2) Bond enthalpy (energy):
The bond energies give us a good indication of the reactivity of the halogenoalkanes:
E(C – Cl) = 340 KJ mol-1
E(C – Br) = 280 KJ mol-1
E(C – I) = 240 KJ mol-1
The weakest would be expected to break first.
The one that breaks first will form a precipitate with Ag+ first:
The C - I bond is the weakest of the 3 halogenoalkanes.
This means that the bond would break more readily.
This means that it would give the fastest reaction.
Bond enthalpies:

Questions P159 Qu1-3
Halogenoalkanes and the environment:
Halogen - containing polymers:
1) PTFE - poly(tetrafluoroethane)
![]() |
Used in the non – stick coating on saucepans and in electrical insulation.
C - F bonds are very strong and make it impervious to heat and chemical attack hence it is used as a coating on pans.
2) PVC – poly(chloroethene):
![]() |
Used inn drainpipes, window frames etc.
Chlorofluorocarbons, CFC's - enter Thomas Midgley
From the late 1800's to the 1930's gases like ammonia, chloromethane and sulphur dioxide was used as refrigerants.
2 of these gases are toxic and when the refrigerators (and air conditioning) leaked, people would die!!
Thomas Midgley developed a non toxic refrigerant, freon (CCl2F2) or CFC’s.
He famously demonstrated the non toxic nature by inhaling the gas and extinguishing a flame by slowly exhaling over it.
These were used as coolants in refrigerators, aerosol propellants and blowing agents.
They were also used as blowing agents - the gas in expanded polystyrene foam (now replaced with CO2.
Trouble with CFCs
· CFC’s have a devastating effect on the ozone layer.
· The ozone layer filters out harmful UV light which can cause skin cancer.
· CFC’s were used in refrigeration and aerosol propellants.
· The stability of CFC’s has been the problem and the concentration has slowly built up in the atmosphere.
· In the stratosphere CFC’s absorb UV light forming chlorine radicals.
· It is these chlorine radicals that break down ozone to oxygen:
The ozone layer
![]() |
|
![]() |
|
Ozone formation:
| O2(g) | + | UV | à | 2O(g) |
| O(g) | + | O2(g) | à | O3(g) | + | Heat |
How the ozone layer works:
| O3(g) | + | UV | à | O2(g) | + | O(g) |
| O(g) | + | O2(g) | à | O3(g) | + | Heat |
| O(g) | + | O2(g) | D | O3(g) |
Removal of ozone:
| O(g) | + | O3(g) | à | 2O2(g) |
This chlorine radical catalyses the decomposition of ozone with the chlorine radical coming out unchanged (and available for more ozone decomposition).
| O(g) | + | O3(g) | à | 2O2(g) |
Free radicals react fast and the chlorine radical could decompose as many as 100000 ozone molecules.
The oxygen radical in step 2 is produced from UV dissociation of oxygen and ozone in the stratosphere.
2) Nitrogen oxide:
| O(g) | + | O3(g) | à | 2O2(g) |
The way forward - alternatives to CFCs
![]() |
|
Ozone friendly products:
Although these contain no CFCs, they usually contain hydrocarbons like butane.
This means they are flammable - not ideal!!
Questions P161 Qu1-3 / P179 Qu7-12